Регион

Поздравляем!

Поздравляем!

Сегодня день рождения отмечает заместитель главы городского округа Воскресенск - начальник управления правового обеспечения и кадровой политики администрации Ксения Архипова.

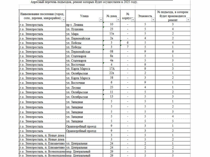
Ремонт подъездов на 2025 год

Ремонт подъездов на 2025 год

Адресный перечень подъездов, ремонт которых будет осуществлен в 2025 году по программе Губернатора Пресс-служба Главы г.о.

Депутат Мособлдумы оценил качество ремонта Дворца культуры в Ступино

Депутат Мособлдумы оценил качество ремонта Дворца культуры в Ступино

Депутат Московской областной Думы, член регионального политического совета партии "Единая Россия" Андрей Голубев проверил качество ремонта Дворца культуры в Ступино.

Защищать Родину - значит нести ответственность за будущее России!

Защищать Родину - значит нести ответственность за будущее России!

Узнать, как заключить контракт с Минобороны РФ, получить информацию о регулярных и дополнительных выплатах, надбавках и льготах, можно на портале контрактмо.рф.

В Ступино запустили благотворительную акцию ко Дню чтения книг

В Ступино запустили благотворительную акцию ко Дню чтения книг

В Ступино активисты Молодой Гвардии Единой России инициировали проведение благотворительной акции «Добро на книжной полке».

Постановление главы городского округа Лыткарино от 23.01.2025 №17-п «О внесении изменений в Схему размещения рекламных конструкций на территории городского округа Лыткарино Московс

Постановление главы городского округа Лыткарино от 23.01.2025 №17-п «О внесении изменений в Схему размещения рекламных конструкций на территории городского округа Лыткарино Московс

Скачать документ Источники: Информационное агентство «Все новости Лыткарино» , Интернет-портал lytkarino.com Добавить комментарий Ваш адрес email не будет опубликован.

Лыткаринцы, детское автокресло — лучший друг в поездке

Лыткаринцы, детское автокресло — лучший друг в поездке

Источники: Информационное агентство «Все новости Лыткарино» , Интернет-портал lytkarino.com Добавить комментарий Ваш адрес email не будет опубликован.

Глава Власихи Герман Потапчук проинспектировал содержание мкр Березка

Глава Власихи Герман Потапчук проинспектировал содержание мкр Березка

Рыхление снега и прогребание газонов, прометание прилотковой зоны и вывоз мусора — регламент работы коммунальных служб скорректирован в соответствии с погодными условиями.

Глава Рузского округа сообщил об устранении утечки в Микрорайоне

Глава Рузского округа сообщил об устранении утечки в Микрорайоне

Глава Рузского муниципального округа Николай Пархоменко сообщил в своём Телеграмм-канале о завершении устранения утечки в Микрорайоне.

Исторический квест пройдет 26 января в Звенигородском манеже

Исторический квест пройдет 26 января в Звенигородском манеже

Фото: Звенигородский музей-заповедник Автор: Наталья Дорофеева В Звенигородском манеже в воскресенье, 26 января, проведут исторический квест для детей (8+).